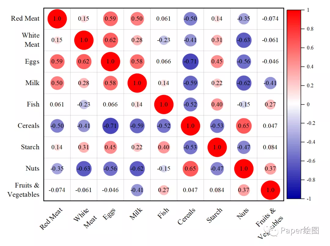
【摘要】 今天给大家带来的是一幅相关系数图,就是在Origin中使用相关系数app:CorrelationPlot.opx,进行作图,你只需要输入数据,一键点击app,就会直接出图,非常方便。大家可以看一下我使用官方数据做成的图


软件
Origin2020b (2020以上的均可)

(关于软件,由于所需要origin软件版本较新,因此,只能通过使用教育机构的邮箱进行在Origin官网注册,获得序列号进行登录使用。关于app,大家可以后台回复Originapp,就可以获得本公众号提供的所有app插件,前期和后期教程讲解的作图教程插件都在里面)
图文教程
本次使用的数据是Origin官方提供的数据文件,大家在安装好App后即可出现。
1. 打开Origin软件,右击App,这里我们打开示例文件夹,里面包括一份示例数据,供我们学习

2. 我们直接双击估计打开这个文件

3. 我们先看第一个说明文件,意思就是对app应用的解释,我就不解释了,各位也能看懂,看不懂的直接跟着做就行

4. 第二个文件,是一个包括两个表格数据的文件:其中第一个是原始数据,第二个是绘图生成的数据文件


5. 第三个文件,就是这些数据所生成的图形

6. 下来我们使用官方的数据,进行作图,也就是第一张原始数据图,我们选中B-J列数据,点击app

7. 在这里,我们进行相应的参数设置

8. 相关系数有三种,大家选择自己需要的就可以

9. 关于点的方法,有很多,自己可以试试其他的形状

10. 布局这一块,大家可能没有发现这张图是斜对角对称的,所以,你可以显示一边,或者两边都显示

11. 如果是Lower的话就是下面这种

12. 如果是Upper的话就是下面这种

13. 相关系数这里,你可以选择P值等一些你需要的参数

14. 如果你选择了P值,就可以在最下方进行设置显著性设置

15. 选好相关参数,最终进行出图就可以了,红色表示正相关,蓝色表示负相关,圈越大相关系数绝对值越大。

16. 另外,我们会在表格里发现了另外一组数据,这是作图附带产生的,你可以进行查看查看。

以上文章来源于Paper绘图 ,作者超级super栋







您已经拒绝加入团体

