【摘要】 深入解析2型糖尿病中平均血小板体积(MPV)与血浆白蛋白如何影响血小板粘附功能。最新研究表明,血浆白蛋白水平或成糖尿病心血管风险评估新指标。了解其机制对预防血栓及动脉粥样硬化并发症具有重要意义。
血小板在止血过程中扮演核心角色,通过粘附、聚集和凝血响应组织损伤或血管内皮炎症。当内皮受损暴露胶原蛋白等底物时,血小板被激活并粘附其上。活化血小板释放颗粒(含纤维蛋白原、ADP、钙离子等),这些物质虽为正常止血所需,但也参与动脉粥样硬化及血栓形成。
在糖尿病领域,镁离子(Mg²⁺)和白蛋白等因子被证实影响血小板活性及血栓风险。镁是血小板粘附和凝血的关键元素。尽管研究结论不尽一致,但多项证据表明低血镁水平是预测2型糖尿病发生的强独立因子。作为主要血浆蛋白,白蛋白也被发现可调节血小板功能,并与动脉粥样硬化、血栓形成相关。最新荟萃分析指出,低血浆白蛋白与心血管事件风险呈独立正相关。白蛋白可能通过拮抗多种促血栓形成效应发挥抗凝作用。
尽管血小板粘附是活化初始事件,其在血栓形成中的意义及其与临床指标(如平均血小板体积MPV)的关联研究相对较少。鉴于MPV、白蛋白和镁对血小板粘附的影响在2型糖尿病人群中尚未系统探讨,Johansson团队对此进行了深入研究。
研究发现:
1.表面蛋白影响显著: 无论健康对照(HC, n=60)还是2型糖尿病受试者(T2D, n=60),血小板在胶原蛋白(Coll) 和纤维蛋白原(Fib) 表面的粘附量均显著高于白蛋白(Alb) 表面。胶原表面引发的粘附亦明显强于纤维蛋白原表面(所有比较p<0.001)。但两组人群间的基线粘附水平无显著差异。

图1 在健康对照组(HC, n = 60)和2型糖尿病受试者(T2D, n = 60)中,胶原蛋白(Coll)和纤维蛋白原(Fib)表面引起的血小板粘附比白蛋白(Alb)明显更多,胶原蛋白表面引起的粘附比纤维蛋白原明显更多(p < 0.001,所有比较)。与对照组相比,T2D患者的粘附性无显著差异。方框显示第25到75个百分位数,胡须显示所有点的最小值到最大值。框中的中线表示中值
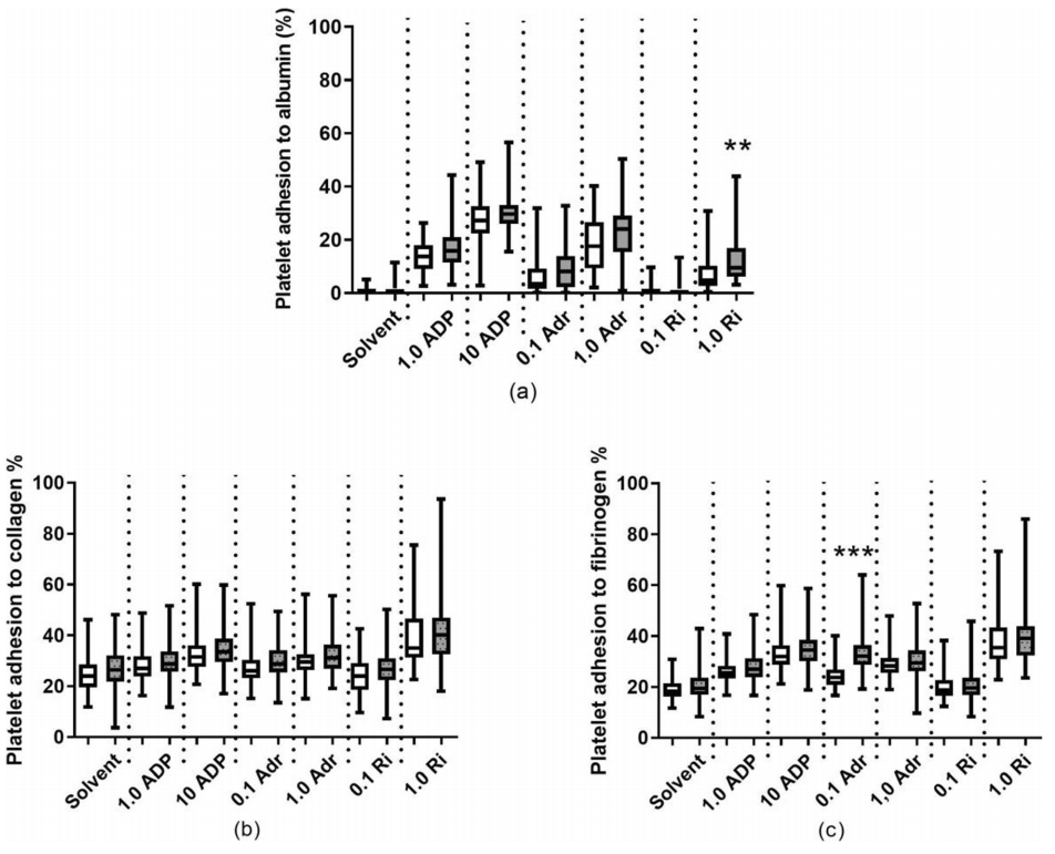
2.活化剂影响复杂: 使用ADP、肾上腺素(Adr)和瑞斯托霉素(Ri)激活后:
- 白蛋白表面: 除最低浓度Ri外,所有活化剂均显著增加两组的粘附(p<0.0001)。值得注意的是,高浓度Ri(1.0 mg/mL)激活后,T2D组的粘附性显著高于对照组(p<0.01)。
- 胶原表面: 仅最高浓度ADP(10 μmol/L)、肾上腺素(1 μmol/L)和瑞斯托霉素(1.0 mg/mL)显著增加粘附(p<0.001 vs 溶剂),且两组间无差异。
- 纤维蛋白原表面: 除最低浓度Ri外,所有活化剂均显著增加粘附(p<0.001)。特别关键的是,在较低浓度肾上腺素(0.1 μmol/L)作用下,T2D组的血小板粘附显著高于对照组(p<0.001),其中位数粘附率达33%,而对照组为24%。

图2 健康对照(白色,n = 60)和2型糖尿病患者(灰色,n = 60)的血小板粘附(a)白蛋白;(b)胶原蛋白;(c) 1.0和10µmol/L二磷酸腺苷(ADP)激活后的纤维蛋白原;肾上腺素(Adr) 0.1、1.0µmol/L;或0.1和1.0 mg/mL瑞斯托素(Ri)。溶剂是指在没有任何可溶性活化剂的情况下与蛋白质表面的基础粘附。方框显示第25到75个百分位数,胡须显示所有点的最小值到最大值。框中的中线表示中值。2型糖尿病患者与健康对照**p < 0.01, **p < 0.001
结论与意义:
本研究首次在2型糖尿病人群中系统探讨了MPV、血浆白蛋白与血小板粘附的关联。结果表明:
- MPV 与健康人群及血糖控制良好的2型糖尿病患者的血小板粘附水平相关。
- 血浆白蛋白浓度(即使在正常范围内)仅与2型糖尿病患者的血小板粘附水平相关。
这些发现具有重要临床启示:血浆白蛋白浓度可能是评估2型糖尿病患者心血管风险的又一潜在指标。研究结果强烈提示,需要进一步深入探索白蛋白糖化及其对血小板活性的具体影响机制,以更好地理解其在糖尿病心血管并发症中的作用。
参考文献:
1.Ronit, A.; Kirkegaard-Klitbo, D. M.; Dohlmann, T. L.; Lundgren, J.; Sabin, C. A.; Phillips, A. N.; Nordestgaard, B. G.; Afzal, S., Plasma Albumin and Incident Cardiovascular Disease: Results From the CGPS and an Updated Meta-Analysis. Arterioscler Thromb Vasc Biol 2020, 40 (2), 473-482.
2.Johansson, M.; Eriksson, A. C.; Östgren, C. J.; Whiss, P. A., Platelet adhesion in type 2 diabetes: impact of plasma albumin and mean platelet volume. Thrombosis Journal 2021, 19 (1), 40.
科学指南针在全国建立32个办事处和20个自营实验室,拥有价值超2.5亿元的高端仪器。检测项目达4000+项,覆盖材料测试、环境检测、生物服务、行业解决方案、模拟计算等九大业务。累计服务1800+个高校、科研院所及6000+家企业,获得了60万科研工作者的信赖。
免责声明:部分文章整合自网络,因内容庞杂无法联系到全部作者,如有侵权,请联系删除,我们会在第一时间予以答复,万分感谢。







您已经拒绝加入团体

