【摘要】 本文探讨复合多层含能材料的热机械性能测试方法,重点分析TMA和DMA在双基推进剂中的应用。通过实验数据,研究热膨胀系数和玻璃化转变温度的影响,并提出动态力学测试修正策略,为热-力分析仪改进提供可靠方案。
双基(DB)火炮推进剂是一种高性能含能材料,主要由硝化纤维(NC)和硝化甘油(NG)混合少量辅助成分(如中心岩C2)制成。这种推进剂广泛应用于中、小口径武器系统,其燃烧性能的提升一直是研究热点。复合多层片状火炮发射药通过分层结构设计,显著改善了燃烧进步性,从而有效提高火炮弹丸初速。与传统推进剂类似,复合多层含能材料的热机械性能与聚合物材料相近,适用于通用聚合物测试方法,为热-力分析仪的动态力学改进提供了基础。
在热机械性能测试中,热机械分析法(TMA)和动态力学分析法(DMA)是常用技术。TMA法主要用于测量线性热膨胀系数,而DMA法则侧重于分析材料的动态响应,如储能模量和损耗模量。DB推进剂的热机械性能直接影响其工作可靠性,已成为含能材料研究的重点。先前工作使用TMA法测定了复合多层片状火炮推进剂的线性热膨胀系数。DMA法虽能评估热膨胀系数,但其复杂性较高,尤其在处理频率效应和玻璃化转变温度时。例如,DMA和温度调制差示扫描量热法(TMDSC)测得的玻璃化转变温度存在差异;在汽车涂料研究中,TMA和DMA结果在低频下相关性强,但高频时减弱。Qi等人提出的动态力学测试修正方法,为含能材料热-力分析仪的改进提供了有效参考框架,通过结合TMA和DMA测试,调整储能模量和损耗模量,提升结果可靠性。
DMA测试的工作原理涉及温度变化对试样几何尺寸的影响。如图1所示,在DMA方法中,升温过程导致试样热膨胀,进而改变其几何形状。相比之下,TMA法使用0.05 N探针压力,而DMA法采用1 N上端夹持力以确保振幅稳定(如10 mm)。这种差异在多层结构材料中尤为关键。

图1 DMA的功能原理示意图。
复合多层片状火炮推进剂采用分层结构设计。内外两层均由双基推进剂组成:内层使用1#双基吸收推进剂(NC含量68.2%,NG 31%,C2 0.8%,硝化水平13.00%),外层为2#双基吸收推进剂(NC 88.26%,NG 10.04%,C2 1.7%,硝化水平12.76%)。这种结构优化了热机械性能,如图2所示。

图2 复合多层片状火炮推进剂的结构。
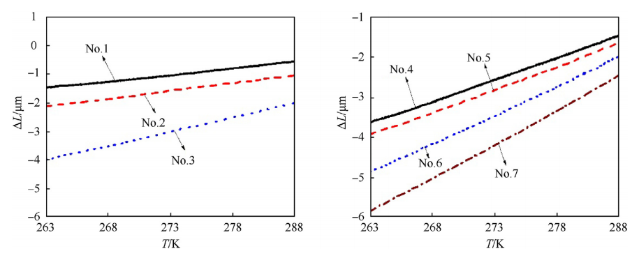
实验结果表明,在263-283 K温度范围内,厚度0.3~1.0 mm试样的TMA测试显示线性热膨胀系数范围为0.1800×10⁻⁴ K⁻¹至0.2081×10⁻⁴ K⁻¹。如图3所示,热膨胀系数对材料使用影响较小,但DMA测试揭示几何尺寸对模量影响显著。

图3 复合多层片枪推进剂(263-283 K) DL与T的关系。
综上所述,本研究通过TMA和DMA方法系统测试了复合多层片状火炮发射药样品。测得玻璃化转变温度范围为223.01~223.50 K,符合双基推进剂特性。几何尺寸增加导致损耗模量减小,表明热膨胀对DMA结果有显著影响。基于时间-温度等效原理,结合TMA数据修正DMA的储能模量和损耗模量,是一种可靠的热-力分析仪改进方法,为含能材料动态力学测试提供了优化路径。
参考文献:1.Qi, L.; Zhang, S.-l.; Yuan, H.; Ma, Z.-l.; Xiao, Z.-l., A novel modification method for the dynamic mechanical test using thermomechanical analyzer for composite multi-layered energetic materials. Defence Technology 2023, 21, 125-132.
科学指南针以分析测试为核心,提供材料测试、环境检测、生物服务、模拟计算、科研绘图等多项科研产品,累计服务1800+个高校、科研院所及6000+家企业,获得了60万科研工作者的信赖。始终秉持“全心全意服务科研,助力全球科技创新”的使命,致力于为高校、院所、医院、研发型企业等科研工作者提供专业、快捷、全方位的服务。
免责声明:部分文章整合自网络,因内容庞杂无法联系到全部作者,如有侵权,请联系删除,我们会在第一时间予以答复,万分感谢。







您已经拒绝加入团体

