【摘要】 用户如果想以非线性拟合曲线来拟合3D 散点图,并把拟合曲线绘制在散点图的上,可以通过创建用户自己的多元拟合函数 y=f(x) 和 z=g(x) 来实现。
用户如果想以非线性拟合曲线来拟合3D 散点图,并把拟合曲线绘制在散点图的上,可以通过创建用户自己的多元拟合函数 y=f(x) 和 z=g(x) 来实现。
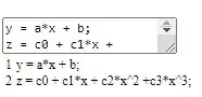
在这个示例中,假设用户已将数据集绘制为如下图的3D 散点图,并希望使用这两个函数拟合数据点:y = a + b*x 和 z = c0 + c1*x + c2*x^2 + c3*x^3。
以下我们将会展示如何进行拟合并绘制拟合曲线图。请点击置顶项目文件链接下载 zip 文件,并在 Origin 中打开 opj 以执行以下步骤。

1
1. 在菜单中选择 Tools:Fitting Function Organizer… 打开对话框。在左侧选择 User Defined 文件夹。
单击右侧的 New Function 按钮,开始定义新的拟合功能。在 Function Name 文本窗口中,输入名称 LinePoly3。
将 Independent Variables 设为 x,Dependent Variables 设为 y, z,Parameter Names 设为a,b,c0,c1,c2,c3. 在 Function 编辑框,输入:


2
2. 向下滚动到 Parameter Settings 部分,点击在编辑框旁边的按钮,打开 Parameter Settings 对话框。
将所有初始值设置为1。单击 OK 关闭对话框,然后单击 Save 以保存该函数。

3
3. 打开 opj 文件,选中整个工作表,在菜单上选择 Analysis: Fitting: Nonlinear Curve Fit… 打开对话框。
在 Settings 选项卡下,在左侧面板上选择 Function Selection。在 Category 下拉列表中,选择 User Defined。
在 Function 下拉列表中, 选择刚才创建的函数 LinePoly3 。以初始参数猜想的拟合函数也显示在底部面板上。单击 Fit 以执行拟合操作。

4
4. 在结果工作表 FitNLCurve1,选择 C 列,右键单击并在弹出菜单中选择 Set as: Z。
将鼠标移动已选中列的左/右边缘,直到光标变为绘图形状,按下鼠标并拖动到原本的 3D 绘图中。

5
5. 此时,拟合曲线已添加到图形中。双击新绘图,打开 Plot Details 对话框,进行以下自定义设置,则可以获得最后的图形。


参考资料
周剑平,Origin实用教程 7.5版,2007







您已经拒绝加入团体

