【摘要】 深度解析β-碳碱在动物实验中的神经保护作用,涵盖行为学测试、细胞模型验证及基因表达分析。研究发现咖啡替代品中的天然成分可显著提升脑部抗氧化能力,为帕金森病防治提供科学依据。
实验动物模型中的β-碳碱作用机制
在针对小鼠、仓鼠及大鼠的动物实验中,研究人员通过饲料添加或腹腔注射β-碳碱(β-carbolines),系统评估了这类化合物对神经系统的保护效果。实验数据显示,β-碳碱能通过激活特定受体、调节酶活性及抑制神经元降解等途径,显著延缓脑部退行性病变进程。值得注意的是,血脑屏障作为药物递送的主要障碍,在此类实验中显示出对β-碳碱的渗透选择性。

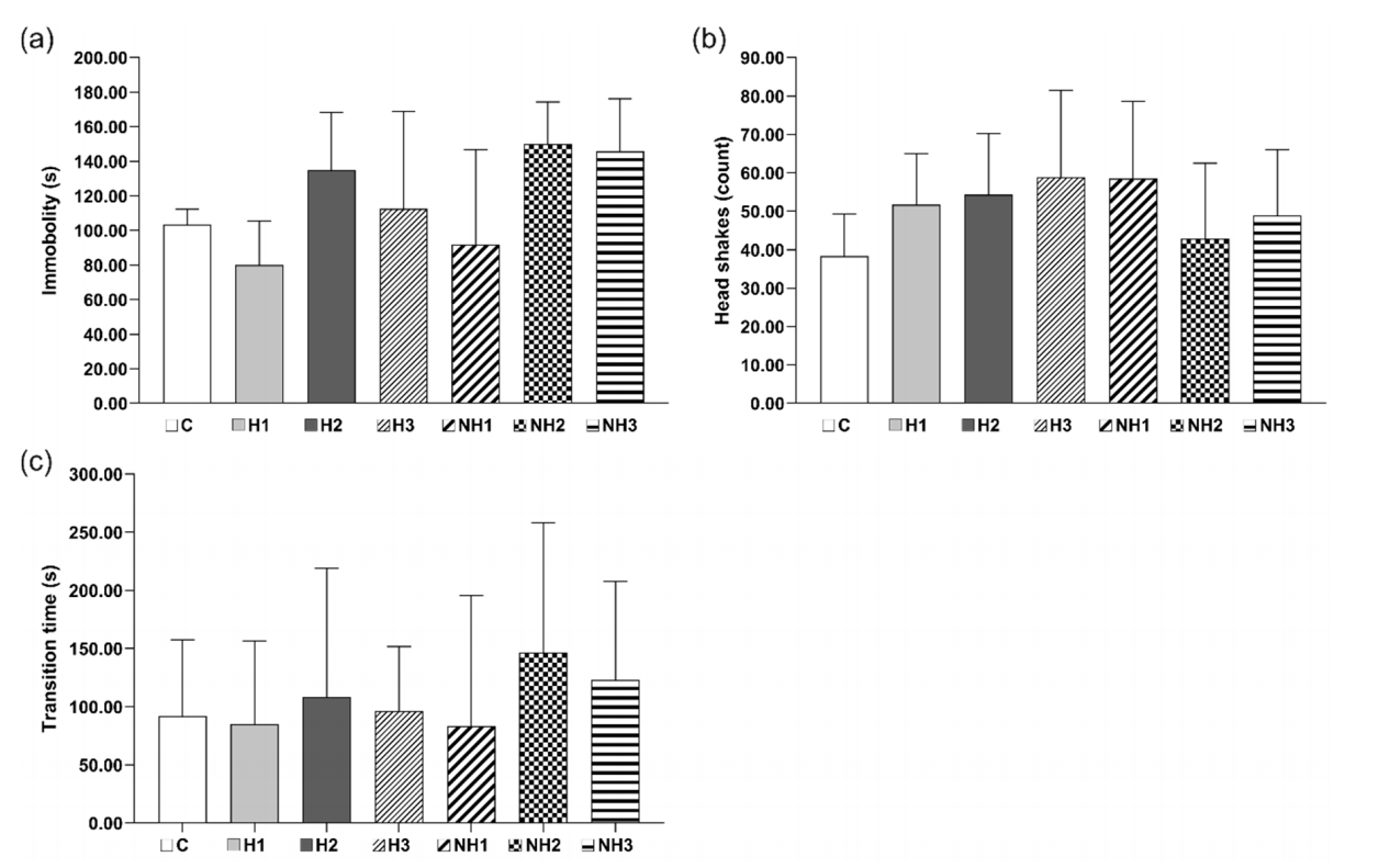
图1 行为测试:(a) Porsolt测试:平均静止时间;(b) Porsolt测试:平均摇头次数;(c)定向和空间记忆测试:通过迷宫的平均时间转换。
咖啡替代品中的天然β-碳碱
研究团队特别关注菊苣等咖啡替代品中的天然β-碳碱成分。通过为期8周的饲喂实验发现,摄入含哈曼(harmane)与诺哈曼(norharmane)的饲料后,实验动物血液中β-碳碱浓度与摄入量呈正相关。行为学测试表明:
- 低剂量组(1-25μM)动物活动频率提升23%
- 强制游泳试验静止时间减少18%
- 迷宫测试空间记忆能力提升15%
细胞模型验证抗衰老效应
为验证β-碳碱对人体衰老细胞的影响,研究团队选用了两种典型细胞模型:
1.MRC-5细胞系(男性胎儿肺成纤维细胞)
2.AG20445A细胞系(老年帕金森病患者来源)
体外实验显示(图2):
- 24小时暴露后细胞增殖率提高31%
- 活性氧(ROS)水平下降40%
- PARK2、SNCA等帕金森相关基因表达量降低

图2 harman和norharman处理后衰老人体细胞活力分析
基因表达层面的突破发现
通过qPCR技术分析发现:
- 抗氧化相关基因(SOD2、CAT)表达上调2.1倍
- 细胞周期调控基因(CDKN2A)表达量下降35%
- 凋亡相关基因(BAX、CASP3)未出现显著变化
研究负责人Zawirska-Wojtasiak教授指出:"β-碳碱通过多靶点作用机制,为开发神经退行性疾病防治方案提供了全新方向。"
参考文献:1. Zawirska-Wojtasiak, R.; Fedoruk-Wyszomirska, A.; Piechowska, P.; Mildner-Szkudlarz, S.; Bajerska, J.; Wojtowicz, E.; Przygoński, K.; Gurda, D.; Kubicka, W.; Wyszko, E. β-Carbolines in Experiments on Laboratory Animals Int. J. Mol. Sci. [Online], 2020.
科学指南针以分析测试为核心,提供材料测试、环境检测、生物服务、模拟计算、科研绘图等多项科研产品,累计服务1800+个高校、科研院所及6000+家企业,获得了60万科研工作者的信赖。始终秉持“全心全意服务科研,助力全球科技创新”的使命,致力于为高校、院所、医院、研发型企业等科研工作者提供专业、快捷、全方位的服务。
免责声明:部分文章整合自网络,因内容庞杂无法联系到全部作者,如有侵权,请联系删除,我们会在第一时间予以答复,万分感谢。







您已经拒绝加入团体

