【摘要】 深入探讨碱性环境下析氢反应(HER)的Volmer、Heyrovsky、Tafel机理,分析OER与HER动力学差异及过电位成因。聚焦非贵金属催化剂开发难点,阐述水解离、吸附能平衡等关键设计策略,展望碱性电解水制氢未来。基于最新研究(2024)。
在碱性水电解过程中,阴极发生的析氢反应(HER)和阳极发生的析氧反应(OER)是两大核心过程。具体反应方程式如下:
-
阴极反应 (HER):
2 H₂O(l) + 2e⁻ → H₂(g) + 2 OH⁻(aq) E⁰ = -0.83 V
此过程涉及两个电子的转移,目标产物是氢气。 -
阳极反应 (OER):
4 OH⁻(aq) → O₂(g) + 2 H₂O + 4e⁻ E⁰ = 0.40 V
此过程涉及四个电子的转移,目标产物是氧气。
总反应为:2 H₂O(l) → 2 H₂(g) + O₂(g) E⁰ = 1.23 V
理论上,驱动水分解所需的最小电压为1.23 V。然而,实际应用中电极反应的动力学较为缓慢,需要额外的过电位来克服能垒、推动反应进行。电催化剂的核心作用正是通过降低这些动力学障碍,从而有效减小过电位和能量损失,显著加速反应速率。由于OER涉及复杂的四电子转移过程,其动力学通常远慢于仅需两电子转移的HER。这一理论差异与实验中观察到的OER过电位普遍高于HER的现象完全吻合。因此,开发高效的OER电催化剂对于提升整体水电解效率至关重要。
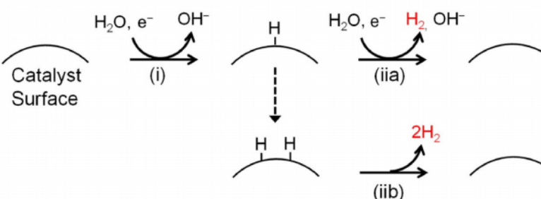
碱性HER的反应路径详解
在碱性介质中,析氢反应(HER)的机理比在酸性环境中更为复杂。其核心步骤通常包含以下三种可能的路径(如图1所示):

图1. 在碱性介质中HER的反应机理:(i)、(iia)和(iib)分别为Volmer、Heyrovsky和Tafel步骤[1]
(i) Volmer步骤, (ii) Heyrovsky步骤, (iii) Tafel步骤
- Volmer步骤 (电化学吸附): 这是反应的起始步骤。一个水分子(H₂O)在催化剂表面发生吸附并解离,生成吸附氢原子(H*)和一个氢氧根离子(OH⁻)。可表示为:
H₂O + e⁻ + * → H* + OH⁻(* 代表催化剂活性位点)。在碱性环境中,水分子中牢固的H-O-H键需要较大的能量才能断裂,这构成了反应的主要能垒,导致动力学过程缓慢。 - Heyrovsky步骤 (电化学脱附): 在Volmer步骤生成的吸附氢原子(H*)与溶液中的另一个水分子反应,结合一个电子,释放出氢气(H₂)并生成另一个OH⁻离子。可表示为:
H* + H₂O + e⁻ → H₂ + OH⁻ + *。 - Tafel步骤 (联合脱附/化学脱附): 两个吸附在催化剂相邻位点上的氢原子(H*)直接结合,形成氢气分子(H₂)并释放活性位点。可表示为:
2H* → H₂ + 2*。
催化剂瓶颈与突破方向
目前,铂(Pt)、钌(Ru)、铱(Ir)等贵金属被认为是性能最优异的水分解电催化剂。然而,其高昂的成本和稀缺性严重限制了大规模商业应用。特别是Ir和Pt的价格在过去二十年中持续飙升。相比之下,碱性电解水展现出了显著的成本优势:它允许使用地壳丰度更高的非贵金属(如Mn、Fe、Co、Ni及其化合物)作为催化剂以及双极板等设备部件。因此,科研界正集中力量开发由这些地球丰富元素组成的高效、稳定的非贵金属电催化剂。
碱性HER的特殊挑战与研究关键
当前,开发高效的酸性OER催化剂面临巨大困难,这也是研究重心向碱性电解水制氢倾斜的重要原因之一。然而,在碱性环境中,HER也面临着独特挑战:
- 缺乏自由质子: 碱性介质中自由质子(H⁺)浓度极低,使得原本在酸性环境中高效的HER催化剂(如Pt)活性显著降低。
- 反应机理争议: 碱性HER的具体反应路径(特别是Volmer步骤后H*的后续反应是偏向Heyrovsky还是Tafel)以及各步骤的决速步骤,在学术上仍存在较多讨论。
- 水分子解离是关键: 水分子的有效吸附和解离(Volmer步骤)成为限制整体HER速率的关键环节。
因此,研发高效的碱性HER催化剂必须重点关注:
1.促进水分子解离: 设计能够有效吸附并活化水分子的活性位点。
2.平衡吸附能: 精细调控催化剂表面对关键中间体——氢原子(H*)和氢氧根离子(OH⁻)——的吸附强度。理想的催化剂应具有适中的H*吸附能(便于H₂脱附)和适度的OH⁻吸附能(避免活性位点被毒化),使各反应步骤能快速协同进行。
3.深入机理研究: 综合运用原位表征(如原位XAS, Raman)、光谱电化学分析等技术,深入研究电极表面结构动态变化、水-电极界面状态、双电层结构及其在电位驱动下的重组行为,深化对碱性HER机理的微观理解。
未来展望
当成本更低、性能更卓越且稳定性足够的电催化剂能够在综合性能上全面超越贵金属催化剂(如Pt/C)时,碱性电解水制氢技术将迎来其发展的黄金时代。持续的基础研究和对反应界面的深入理解,是实现这一目标的关键驱动力。
参考文献:[1]白帆.碱性介质中电催化析氢反应催化剂设计策略与展望[J].石油化工,2024,53(05):737-744.
科学指南针充分发挥互联网技术和业务优势,在国内率先打造出业界领先的线上化、数字化的科研服务基础设施,在行业内首创用户自主下单、服务全流程追踪、测试“云现场”等模式,进一步提高了大型科学仪器设施开放共享和使用效率,以实际行动助力科技创新。现已发展成为中国专业科研服务引领者,已获得检验检测机构资质认定证书(CMA)、实验动物使用许可证、“ISO三体系认证”等专业认证。
免责声明:部分文章整合自网络,因内容庞杂无法联系到全部作者,如有侵权,请联系删除,我们会在第一时间予以答复,万分感谢。







您已经拒绝加入团体

