【摘要】 突破性低压透射电镜(LVEM)像差校正技术解析。深度优化六极校正器设计,实现20%分辨率提升,解决轻元素成像瓶颈。涵盖5-30kV能量优化模型、单色化关键技术及生物医学应用场景,推动桌面级电镜在病毒学研究、药物开发领域的革新应用。
像差校正原理虽在70年前被提出,但受限于技术条件长期未能实用化。早期校正器作为"概念验证"存在明显缺陷,而近年来机械精密制造与电子稳定性的提升,推动了校正技术在高性能电镜中的商业化应用。目前市面校正透射电镜多在100-200kV电压下工作,低电压透射电镜(LVEM) 的像差校正技术仍处于关键研发阶段。
LVEM技术核心优势
采用5-30kV电子束的低压透射电子显微镜具备两大革命性特点:
1.大幅降低辐射损伤:对生物样品、高分子材料等敏感样本实现无损观测
2.增强轻元素对比度:突破传统电镜对碳、氢等轻元素的成像瓶颈
关键技术突破
1.能量优化模型
图1数据证实:特定像差系数组合存在最优加速电压点,该结论可直接从电压相关的像差积分推导。在LVEM低压区间内,肖特基发射与冷场发射源的选择显著影响色差校正效果。

图1 一组特定像差系数(LVEM 5)的最佳加速能量Cs 0:64 mm, Cc 0:89 mm, DE 0:6 eV。
2.单色化关键技术
如图2所示,能量扩散降低可使优化孔径角提升40%,直接扩大近轴成像空间:

图2 型号参数Cs¼0:64 mm, Cc¼0:89 mm, E¼5 keV。
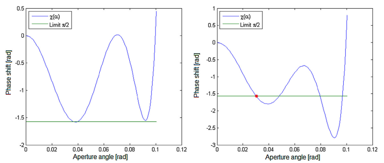
3.六极校正器创新设计
图3对比显示:经优化的校正系统(左)在极限孔径角内保持相移稳定,非常规系统(右)则出现临界失效:

图3 左:选择适当的系数后的相移行为(校正系统)。XðaÞ在孔径角的最大可能区间内保持在某一极限以下。右:如果系数选择不当或系统未进行校正,相移将超过(红点)已经具有较低a的极限。
桌面级LVEM工程实现
采用六极校正器设计的关键考量:
- 简化结构适配桌面设备小型化需求
- 磁透镜方案降低色差恶化(静电方案恶化率达300%)
- 转移透镜焦距优化至15-30mm区间
- 主柱长度压缩至140mm内
应用场景与市场价值
经像差校正的LVEM25系统可实现:
✅ 分辨率提升20%
✅ 病毒学样本直接成像(免染色)
✅ 病理切片原位分析
✅ 药物递送系统实时观测
当前研发聚焦于低压专用校正器集成,该技术将推动桌面电镜在生物医学、纳米材料领域的普及化应用。
参考文献:1.Bacovský, J., Aberration correction for low voltage optimized transmission electron microscopy. MethodsX 2018, 5, 1033-1047.
科学指南针充分发挥互联网技术和业务优势,在国内率先打造出业界领先的线上化、数字化的科研服务基础设施,在行业内首创用户自主下单、服务全流程追踪、测试“云现场”等模式,进一步提高了大型科学仪器设施开放共享和使用效率,以实际行动助力科技创新。现已发展成为中国专业科研服务引领者,已获得检验检测机构资质认定证书(CMA)、实验动物使用许可证、“ISO三体系认证”等专业认证。
免责声明:部分文章整合自网络,因内容庞杂无法联系到全部作者,如有侵权,请联系删除,我们会在第一时间予以答复,万分感谢。







您已经拒绝加入团体

