【摘要】 在往期推文中,我们讲解了不同晶系具有不同晶系的刚度矩阵,以及如何通过第一性原理的计算方法得到这个刚度矩阵。
在往期推文中,我们讲解了不同晶系具有不同晶系的刚度矩阵,以及如何通过第一性原理的计算方法得到这个刚度矩阵。那我们如何将这个6阶的刚度矩阵转化成我们想知道的弹性模量呢?我们在通过第一性原理计算得到的是弹性常数,根据Voigt-Reuss-Hill [1-3] 近似,得到弹性模量。今天,我们对常见的几个晶系的弹性模量的计算公式进行汇总。
1立方晶系——只有3个独立矩阵元(C11,C12,C44)

2六角晶系——有5个独立矩阵元(C11,C12,C13,C33,C44)

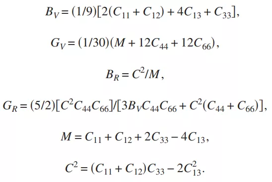
3四方晶系——有6个独立矩阵元(C11,C12,C13,C33,C44,C66)

4正交晶系——有9个独立矩阵元(C11,C12,C13,C22,C23,C33,C44,C55,C66)

其中:

5单斜晶系——有13个独立矩阵元

其中

最后,由G和B,可以得到杨氏模量(E)和泊松比():

由杨氏模量(E)和泊松比()还可以得到显微硬度(H):

参考文献:
[1] D. W. Voigt, Lehrbuch der Kristallphysik, Taubner, Leipzig, 1928.
[2] A. Reuss, Z. Angew, Math. Mech 9 (1929) 55.
[3] R. Hill, Proc. Phys. Soc. London A 65 (1952) 349.
本文所有内容文字、图片和音视频资料,版权均属科学指南针网站所有,任何媒体、网站或个人未经本网协议授权不得以链接、转贴、截图等任何方式转载。







您已经拒绝加入团体

